NEET Biology Mock Test 2
NEET Biology Mock Test 2
1. When does glomerular filtration occurs in Bowman’s capsule?
(a) When hydrostatic pressure of blood in the glomerulus is 70 mm Hg and net filtrate pressure is -25 mm Hg
(b) When hydrostatic pressure of blood in the glomerulus is 70 mm Hg and net filtrate pressure is -35 mm Hg
(c) When hydrostatic pressure of blood in the glomerulus is 70 mm Hg and net filtrate pressure is 10 mm Hg
(d) When hydrostatic pressure of blood in the glomerulus is 70 mm Hg and net filtrate pressure is -70 mm Hg
2. Which one of the following events is correctly matched with the time period in a normal menstrual cycle?
(a) Release of egg — 5th day
(b) Endometrium regenerates — 5-14 days
(c) Endometrium secretes nutrients for implantation — 11-18 days
(d) Rise in progesterone level — 1-15 days
3. Thermococcus, Methanococcus and Methanobacterium exemplify
(a) archaebaCteria that contain protein homologous to eukaryotic core histones
(b) archaebacteria that lack any histones resembling those found in eukaryotes but whose DNA is negatively supercoiled
(c) bacteria whose DNA is relaxed or positively supercoiled but, which have a cytoskeleton as well as mitochondria
(d) bacteria that contain a cytoskeleton and ribosomes
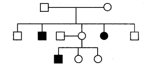
4. Study the pedigree chart given below
What does it show?
(a) Inheritance of a sex-linked inborn error of metabolism like phenylketonuria
(b) Inheritance of a condition like phenylketonuria as an autosomal recessive trait
(c) The pedigree chart is wrong as this is not possible
(d) Inheritance of a recessive sex-linked disease like haemophilia
5. In root nodules of legumes, leghaemoglobin is important because it
(a) transports oxygen to the root nodule
(b) acts as an oxygen scavenger
(c) provides energy to the nitrogen fixing bacterium
(d) acts as a catalyst in transamination
6. Consider the following statements and choose the correct one.
(a) Plant cells have centrioles, which are absent in almost all animal cells
(b) Ribosomes are the site of protein synthesis
(c) The middle lamella is a layer mainly of calcium carbonate, which holds the different neighbouring cells together
(d) In animal cells, steroidal hormones are synthesised by smooth endoplasmic reticulum
7.Assertion A morphology based approach to
taxonomy is called ‘alpha taxonomy’ and it is old fashioned. .
Reason A multi-disciplinary approach to taxonomy called ‘omega taxonomy’ is favoured in recent years, as it excludes morphological feature.
(a) Both assertion and reason are true and reason is the correct expiation of the assertion .
(b) Both assertion and reason are true, but reason is the not correct expiation of the assertion.
(c) If assertion is true ,but reason is false .
(d) If both assertion and reason are false .
8. The formula of growth rate for population in a given time is
(a) dtldN=rN ‘
(b) dt/rN=dN
(c) rN/dN=dt
(d)dN/dt=rN
9. Match the following columns. .
10. The nitrogeneous metabolic waste in Hydra is mostly
(a) ammonia and is removed from the whole surface of the body
(b) urea and is removed mainly by tentacles
(c) urea and is removed from the whole surface of the body
(d) uric acid and is removed from the whole surface of the ‘ body
11. Refer the following figure to answer the question.
Identify the region, where all Na+channels are reactivated but closed and all K+channels are closed.
(a) D
(b) C
(c) B
(d) A
12.Genetic engineering has been successfully used for producing
(a) transgenic mice for testing safety of polio vaccine before its use in humans
(b) transgenic models for studying new treatments for certain cardiac diseases
(c) transgenic cow-Rosie, which produces high fat milk for making ghee
(d) animals like bulls for farm work as they have super power
13.Bryophytes resemble algae in the following aspect.
(a) Filamentous body, presence of vascular tissues andautotrophic nutrition –
(b) Differentiation of plant body into root, stem and leaves and autotrophic nutrition
(c) Thallus-like plant body, presence of roots and autotrophic nutrition
(d) Thallus-like plant body, lack of vascular tissues and autotrophic nutrition
14.Swelling around eyes, enlargement and popping eye balls are observed in an individual who has
(a) less secretion of thyroxine in adult
(b) excessive secretion of thyroxine
(c) excessive secretion of calcitonin
(d) less secretion of thyroxine right from birth
15.Assertion The earliest organism that appeared on the earth were non-green and presumably anaerobes.
Reason The first autotrophic organisms were the chemoautotrophs that never released oxygen.
(a) Bath assertion and reason are true and reason is the correct expiation of the assertion .
(b) Bath assertion and reason are true, but reason is the not correct expiation of the assertion.
(c) If assertion is true ,but reason is false .
(d) If both assertion and reason are false .
16.Match the following column.
Codes
A B C D
(a) 5 4 2 1
(b) 1 3 4 5
(c) 5 4 3 1
(d) 12 5 4 3
17. Oestrogen and testosterone are steroid hormones and are most likely bind to
(a) membrane ions channels
(b) enzyme-linked membrane receptors
(c) G-protein linked membrane receptors
(d) cytoplasmic receptors
18. Which of the following aquatic weeds is not used in production of biogas?
(a) Eichhornia crassipes
(b) Hydrilla
(c) Pistia stratiotes
(d) Spirullina
19. Choose the correct pathway on the transmission of impulse in the heart beat.
(a) AV-node -> SA-node Bundle of His -> Purkinje fibres
(b) SA-node -> AV-node -> Bundle of His -> Purkinje fibres
(c) SA-node –> Bundle of His -> AV-node -> Purkinje fibres
(d) AV-node -> Bundle of His -> SA-node -> Purkinje fibres
20. Uricotelic mode of passing out nitrogenous wastes is found in
(a) birds and annelids
(b) amphibians and reptiles
(c) insects and amphibians
(d) reptiles and birds
21. What happens, when the pacemaker is non-functional?
(a) Only the auricles will contract rhythmically
(b) The cardiac muscles dp not contract in a coordinated manner rhythmically
(c) Only ventricles will contract rhythmically
(d) Cardiac muscle will contract in a coordinated manner
22. Which one of the following statements is not true?
(a) Pollen grains are released from anthers at 2-celled state
(b) Sporogenous cell directly behaves as the megaspore mother cell
(c) Megaspore divides twice to form an eight nucleate embryo sac
(d) Egg and synergids always lie near the micropylar end of ovule
23. Keel is characteristic of the flowers of
(a) gulmohur
(b) Cassia
(c) Calotropis
(d) bean
24. Assertion The quiescent centre acts as a reservoir of relatively resistant cells which constitute a permanent source of active initials.
Reason The cells of the inactive region of quiescent centre become active when the previous active initials get damaged.
(a) Bath assertion and reason are true and reason is the correct expiation of the assertion .
(b) Bath assertion and reason are true, but reason is the not correct expiation of the assertion.
(c) If assertion is true ,but reason is false .
(d) If both assertion and reason are false .
25. Which one of the following correctly matched?
26. The cross-section of the body of an invertebrate is given below. Identify the animal, which has this body plan.Body wall ParenchymaAlimentary canal
(a) Cockroach
(b) Roundworm
(c) Planaria
(d) Earthworm
27. Stirred-tank bioreactors have been designed for the
(a) addition of preservatives to the product
(b) purification of the product
(c) ensuring anaerobic conditions in the culture vessel
(d) availability of oxygen throughout the process
28. In Mendel’s experiments with garden pea, round seed shape (RR) was dominant over wrinkled seeds (rr), yellow cotyledon (YY) was dominant over green cotyledon (yy). What are the expected phenotypes in the F2-generation of the cross RRYYx rryy?
(a) Only round seeds with green cotyledons
(b) Only wrinkled seeds with yellow cotyledons
(c) Only wrinkled seeds with green cotyledons
(d) Round seeds with yellow cotyledons and wrinkled seeds with yellow cotyledons
29. Study the following sentences.
I. The accumulation of pyruvic acid in the muscle causes fatigue.
II. ATP is resynthesised in the muscle by phosphorylation of ADP by a phosphogen.
III. Cori’s cycle occurs in the muscles.
IV. The phosphogen in the vertebrate muscle is arginine phosphate.
The correct set of answers for muscle contraction is
(a) I and II
(b) II and IV
(c) III and IV
(d) II and III
30. Human dental formula is
31. Which one of the following acids is a derivative of carotenoids?
(a) Indole-butyric acid
(b) lndole-3-acetic acid
(c) Gibberellic acid
(d) Abscisic acid
32. Bacterial blight of rice is caused due to the
(a) Xanthomonas oryzae
(b) Helminthosporium oryzae
(c) Pseudomonas falcatum
(d) Xanthomonas falcatum
33. Assertion Inhabitants close to very busy airports are likely to experience health hazards.
Reason Sound level of jet aeroplanes usually exceeds 160 dB.
(a) Bath assertion and reason are true and reason is the correct expiation of the assertion .
(b) Bath assertion and reason are true, but reason is the not correct expiation of the assertion.
(c) If assertion is true ,but reason is false .
(d) If both assertion and reason are false .
34. Match the following columns.
Codes
A B C D A B C D
(a) 2 1 4 3 (b) 3 2 1 4
(c) 2 4 1 3 (d) 1 2 4 3 ’
35.oxygen in Hydrilla, sodium bicarbonate is added to water in the experimental set-up. What would happen if all other conditions are favourable?
(a) Amount of oxygen evolved decreases as carbon dioxide in water is absorbed by sodium bicarbonate
(b) Amount of oxygen evolved increases as the availability of carbon dioxide increases
(c) Amount of oxygen evolved decreases as the availability of carbon dioxide increases
(d) Amount of oxygen evolved increases, as carbon dioxide in water is absorbed by sodium bicarbonate
36. In the diagram given below, the algae have been labelled as A, B, C, D and E. These algae are respectively identified as
<
(a) Dictyota, Polysiphonia, Porphyra, Fucus and Laminaria
(b) Porphyra, Dictyota, Laminaria, Fucus and Polysiphonia
(c) Dictyota, Polysiphonia, Porphyra, Laminaria and Fucus
(d) Fucus, Porphyra, Dictyota, Polysiphonia and Laminaria
37. People living at sea level have around 5 million RBCs per cubic millimetre of their blood, whereas those living at an altitude of 5400 metres have around 8 million. This is because at high altitude
(a) people get pollution-free air to breathe and more oxygen is available
(b) atmospheric oxygen level is less and hence more RBCs are needed to absorb the required amount of oxygen to survive
(c) there is more UV radiation, which enhances RBCs production
(d) people eat more nutritive food, therefore, more RBCs are formed
38. Which of the following species is restricted to aspecific area? , ‘
(a) Sibling species
(b) Allopatric species
(c) Sympatric species
(d) Endemic species
39. With regard to the transmission of the Human Immunodeficiency Virus (HIV), which among of the following statements is not correct?
(a) The chances of transmission from female to male are twice as likely as from male to female
(b) The chances of transmission are more if a person suffers from other sexually transmitted infections
(c) An infected mother can transmit the infection to her baby during pregnancy at child birth and by breast feeding
(d) The risk of contracting infection from transfusion of infected blood is much higher than an exposure to contaminate needle
40. The correct sequence of plants in a hydrosere is
(a) Oak -> Lantana -> Scirpus -> Pistia -» Hydrilla -» Volvox
(b) Volvox -> Hydrilla -> Pistia Scirpus Lantana -> Oak
(c) Pistia -> Volvox -> Scirpus -> Hydrilla -> Oak -> Lantana
(d) Oak -> Lantana Volvox -> Hydrilla -> Pista -> Scirpus
41. In a cross-section of the spinal cord A, B, C, D and £ represents
<
(a) A-White matter, B-Grey matter, C-Dorsal root,
D-Ventral root, E-Spinal nerve
(b) A-White matter, B-Grey matter, C-Ventral root,
D-Dorsal root, E-Spinai nerve
(c)A-Grey matter, B-White matter, C-Ventral root,
D-Dorsal root, E-Spinal nerve
(d) A-Grey matter, B-White matter, C-Dorsal root,
D-Ventral root, E-Spinal nerve
42. PCR proceeds in three distinct steps governed by temperature, they are in order of
(a) denaturation, annealing and synthesis
(b) synthesis, annealing and denaturation
(c) annealing, synthesis and denaturation
(d) denaturation, synthesis and annealing
43. The totipotency of a cell refers to the
(a) flowering in a culture medium
(b) development of fruit from a flower in a culture medium
(c) development of an organ from a cell in culture medium
(d) development of all tissues of all kinds from a cell in a culture medium
44. Match the following columns
Codes
A B C D A B C D
(a) 12 3 4 (b) 2 3 4 1
(c) 2 13 4 (d) 1 5 2 4 1
45. What type of cell division takes place in the functional megaspore initially in angiosperms?
(a) Homeotype without cytokinesis
(b) Reductional without cytokinesis
(c) Somatic followed by cytokinesis
(d) Meiotic followed by cytokinesis
Answers :

